과목명 "2. 로봇 소프트웨어 구조설계" 에서 세부항목 "로봇시스템통합" 이라는 "활용 NCS 능력단위" 부분 입니다.
NCS 세분류 에는 "로봇기구개발" 되어 있고 포함 내용 들 중 관련성 잇는 항목은 그 내용은 아래와 같습니다.
| 4 | 로봇 시제품 제작 및 통합 | LM1903080210_14v1 | 로봇 시스템 통합 |
해당 PDF 파일을 열어보면

로봇 기구 기사 관련 자격증 범위와 비교하겠지만 여기서는 "1903080210_14v1.2 로봇 시스템 조립하기" 에 대해서 정리 할 예정입니다.
학습 4 로봇 시스템 조립 및 통합하기
4-1. 로봇 시스템 조립
학습 목표
조립기준서와 조립검사기준서를 작성할 수 있다.
조립기준서에 따라 부품을 조립할 수 있다.
조립검사기준서에 따라 조립 상태를 확인하여 검사성적서를 작성할 수 있다.
로봇 시스템의 조립 검사성적서에 조립 상태를 작성할 수 있다.
조립기준서에 따라 로봇 시스템을 조립할 수 있다.
조립 검사성적서에 따라 결과를 기입할 수 있다.
필요 지식 /
① 로봇과 로봇 시스템
현대에는 다양한 종류와 목적을 가진 로봇이 존재한다. 로봇의 어원은 체코어 ‘robota’ 이며 ‘기계적 노동, 고되고 지루한 일’을 뜻한다. 실제 산업 현장에서 사용되는 산업 로봇의 의미를 살펴보면 1979년 미국로봇협회(RIA: robotic industries association)에서 제정한 제조업용 로봇의 정의는 ‘재료, 부품, 기구 등을 다루기 위해 고안된 재프로그래밍
(re-programming)이 가능한 기계적 장치’로 서술되어 있으며 국제로봇연맹(IFR: international federation of robotics)에 따르면 ‘고정 또는 움직이는 것으로서 산업 자동화 분야에 사용되며 자동 제어되고, 재프로그램이 가능한 다목적인 3축 또는 그 이상의 축을 가진 자동 조정 장치’라 정의하고 있다. 위의 두 정의에는 재프로그래밍이라는 단어가 등장하며 이는 한 가지의 목적을 위해 만들어진 장치가 아닌 다양한 목적을 수행할 수 있도록 개발된 장치라고 생각 할 수 있다.
로봇 시스템이라 함은 로봇을 구동하기 위한 전반적인 설비 또는 다수의 로봇이 하나의 시스템으로써 구성될 경우를 지칭한다. 일반적으로 로봇 시스템을 지칭하는 말은 전자의 경우이며 로봇 시스템의 구성 요소는 운동부, 제어부, 작업부 등으로 크게 나눌 수 있다.
② 로봇의 분류
용도나 구성, 형태에 따라 여러 형태로 분류할 수 있으나 기본적으로 로봇의 구조에 의한 분류는 다음과 같이 할 수 있다.
1. 직각좌표형 로봇
직각좌표형 또는 직교 로봇이라고도 하며 각 축의 운동부의 관절이 직선 형태로 이동하는 로봇을 말한다. X, Y, Z의 축을 각각 제어하거나 조합을 이용하여 구동할 수 있으며 각 축의 이동으로 작업부의 이동이 가능하나 직각좌표형 로봇의 구조에 의해 로봇의 작업 공간이 직육면체나 직사각형의 공간으로 된다. 구조가 단순하며 정밀도가 우수하고 제어가 쉬운 장점이 있다.
2. 원통좌표형 로봇
원통좌표형 로봇은 2개의 직선 관절과 하나의 회전 관절을 가지는 로봇을 말한다. 원통좌표형 로봇의 기본적인 형태는 기저 부분이 회전하는 회전 관절과 수직 방향으로 이동하는 직선 관절 수평 방향으로 이동하는 직선 관절로 이루어 져있다. 원통좌표형 로봇의 작업공간은 회전축과 수직, 수평 방향 관절이 만나는 부분을 제외한 원통형이다. 원통좌표형 로봇은 직각좌표형 로봇보다 큰 작업 영역을 가지나 반복 정밀도가 낮다.
3. 수평관절형 로봇
수평관절형 로봇은 SCARA 로봇이라고도 하며 2개의 회전 관절과 하나의 직선 관절을 가지고 있다. 기본적인 형태는 2개의 회전 관절의 회전 방향이 기저면과 수평하게 부착되고 끝단에 직선으로 이동하는 관절이 부착되어 있는 형태이다. 수평관절형 로봇은 원통좌표형 로봇과 비슷한 형태의 작업 공간을 가지지만 작업 공간의 크기는 더 큰 영역을 가진다.
4. 수직관절형 로봇
수직관절형 로봇은 3개의 회전 관절로 이루어져 있으며 기본적인 형태는 기저 부분이 기저면과 수평하게 회전하는 회전 관절 하나와 기저면과 수직 방향이 되는 2개의 회전 관절로 이루어 져있다. 3개의 회전 관절을 이용하여 이론적으로 공간상에 어떤 지점에도 도달할 수 있다. 또 단순 로봇 크기만 비교하면 작업 공간이 가장 넓으며 고속 작업도 가능하다. 단지 회전 관절에 의한 기계적 강성이 상대적으로 다른 로봇보다 낮아 비슷한 크기의 로봇을 비교한다면 가반하중이 낮다.
5. 극좌표형 로봇
극좌표형 로봇은 2개의 회전 관절과 하나의 직선 관절로 이루어져 있다. 관절의 구성은 SCARA 로봇과 동일하지만 관절의 회전 방향이 다르다. 기본적인 극좌표형 로봇의 형태는 기저면과 수평하게 회전하는 기저 부분의 회전 관절과, 기저면과 수직하게 회전하는 회전 관절 그리고 수직한 회전 관절의 링크와 연결되어 있는 직선 관절로 이루어져 있다. 현재 는 수직관절형 로봇으로 대체되어 사용처가 한정적이다.
③ 조립
조립이란 여러 부품을 하나의 구조물 제품으로 만드는 것을 의미한다. 부품의 개수가 작은 제품의 조립은 안내서나 지시서 없이도 조립이 가능하나 단위의 부품을 조립하여 더 큰 단위의 부품을 만들고 또 다시 부품들을 조립하여 제품을 만들게 되는 복잡한 기계 조립에는 부품도, 조립도, 조립기준서 등이 필요하다.
④ 모멘트와 우력
기계 부품의 조립 시 가장 많이 사용되는 볼트와 너트를 이용한 기계 조립에 관하여 설명하기 전에 볼트와 너트를 체결하는 규정, 우력, 모멘트에 관하여 간단히 설명하도록 한다.
1. 모멘트
모멘트는 한 점에 대하여 회전을 발생시키려는 힘을 말하며 크기는 작용하는 힘의 크기와 힘의 작용선에서 점까지의 수직 거리의 곱으로 나타낼 수 있다. 산업 현장이나 조립 시에 많이 사용되는 토크는 모멘트와 개념은 같다고 할 수 있으나 일반적으로 비틀림 모멘트를 토크라 칭한다.
일상에서 느낄 수 있는 모멘트는 문의 힌지에서 먼 쪽 손잡이를 미는 것
이 힌지 가까이를 미는 것보다 덜 힘들며 같은 무게의 물체를 매달아도 긴 막대에 매단 것
보다 짧은 막대에 매단 것이 바닥과 수평을 유지하기가 수월한 것 등을 예로 들 수 있다.
2. 우력
우력은 [그림 4-1]과 같이 힘이 일직선상에 놓이지 않고 크기가 같고 방향이 다른 한 쌍 의 힘을 말한다. 우력은 밸브를 돌리거나 볼트나 너트를 조이거나 풀 때 작용하는 힘으로 힘의 크기는 우력의 크기에 우력간의 거리를 곱하여 나타낸다.

3. 나사의 조임
기계 부품의 조립 시 가장 많이 사용되는 조립 방법 중 하나로 나사를 이용한 결합 방법이 있다. 이때 나사에 작용하는 힘, 공구에 작용하는 힘, 재료의 특성, 나사의 크기 등을 고려하여 나사를 조일 때 규정 토크를 정하게 된다. KS B 0140 규격에서도 ‘나사 체결체의 신뢰성을 확보하기 위하여 설계 단계에서 나사 체결체로서의 기능을 충분히 발휘하는 볼트·너트의 시방, 조임력 등을 사용 실적 및 강도 계산에 의하여 결정하고 조임 작업 단계에서는 지시된 기초 조임력을 충실히 실현하는 것이 중요하다. 그것을 위해서는 조임 방법의 특성을 충분히 이해하고 조임 지표의 관리를 정확하게 할 필요가 있다.’라고 나타내고 있다.
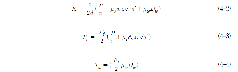
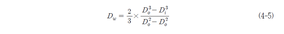
(1) 토크와 조임력의 관계
기본적으로 조임을 이해하기 위해서는 토크와 조임력 간의 관계를 이해하여야 하며 토크와 조임력의 관계는 식 (4-1)과 같다. 또 사용된 기호와 뜻은 <표 4-1>과 같다.


여기서,

접촉하는 자리면이 둥근 고리 모양인 경우에는,

이다.
(2) 조임 회전각과 조임력의 관계
조임 회전각과 조임력의 관계가 선형인 경우, 탄성역 조임에서의 조임 회전각과 조임 력의 관계는 식(4-6)과 같다.

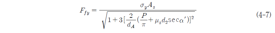
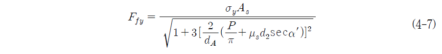
(3) 항복 조임 축력
재료의 항복이 전단변형 에너지설에 따른다면, 볼트의 나사부가 가장 약한 단면인 호칭 지름 볼트 및 유효지름 볼트의 항복 조임 출력 F_fy 는 식(4-7)에 따라 구한 값이 된다.

또 볼트의 원통부가 가장 약한 단면인 시장 볼트의 항복 조임 축력은 식(4-7)을 사용하며 식 중의 d_A , A_s 를 각각 가장 약한 단면의 지름, 단면적으로 치환하여 구한 값이 된다.
(4) 항복 조임 토크
항복 조임 축력에 대응하는 항복 조임 토크 T_fy는 식(4-8)에 따라 구한 값이 된다.

(5) 조임 관리 방법
규격에서 규정하는 조임 관리 방법은 토크법, 회전각법, 토크 기울기법이 있으며 이를 정리한 것은 <표 4-2>와 같다.

(가) 토크법의 특징
토크법은 조임 토크와 조임력의 선형 관계를 이용한 조임 관리 방법이다. 이 방법은 조임 작업 시에 조임 토크 T_f 을 관리하기 때문에 특수한 조임용 공구를 필요로하지 않으며 작업성이 우수하고 간편한 방법이다. 그러나 조임 토크 90% 전후는
나사면 및 자리면의 마찰에 의하여 소비되기 때문에 초기 조임력의 편차는 조임작업 시의 마찰 특성의 관리 정도에 따라 크게 변화한다.
(나) 회전각법의 특징
회전각법은 볼트 머리부와 너트의 상대 회전각(조임 회전각 Theta_f )을 지표로 하여 초기 조임력을 관리하는 방법으로 탄성역 조임과 소성역 조임의 양쪽에 사용할 수 있다. Theta_f - F_f 곡선의 기울기가 급한 경우는 회전각의 설정 오차에 의한 조임력의 편차가 커지므로, 탄성역 조임은 피체결 부재 및 볼트의 강성이 높은 경우에는 불리하게 된다. 한편, 소성역 조임에서는 초기 조임력의 편차는 주로 조일 때의 볼트의 항복점 F_fy 에 의존하고 회전각 오차의 영향을 받기 어렵고 그 볼트의 능력을 최대한으로 이용할 수 있다는 이점이 있으나 볼트의 나사부 또는 원통부가 소성변형을 일으키기 때문에 볼트의 연신성이 작은 경우 및 볼트를 다시 사용하는 경우에는 주의를 요한다. 지나친 조임력에 의하여 피체결 부재에 형편이 좋지 못한 일이 발생할 우려가 있을 경우에는 사용하는 볼트의 항복점 및 인장강도의 상한치를 규정하여야 한다.
(다) 토크 기울기법의 특징
토크 기울기법 조임은 Theta_f - F_f 곡선의 기울기(dt_f / dtheta_t)를 검출하고 그 값의 변화를 지표로 하여 초기 조임력을 관리하는 방법으로 보통은 그 볼트의 항복 조임축력이 초기 조임력의 목표기가 된다. 이 조임은 일반적으로 초기 조임력의 편차를 작게하고 또 그 볼트의 능력을 최대한으로 이용할 경우에 사용한다. 다만, 초기 조임력의 값을 관리하기 위해서는 소성역의 회전각법인 경우와 같이 볼트의 항복점 또는 내구력에 대하여 충분한 관리를 할 필요가 있다. 또 소성역의 호전각법 조임과 비교하여 볼트의 연신성 및 재사용성에 문제가 있는 일은 적으나 조임 용구가 복잡해지는 것은 피할 수 없다.
수행 내용 / 로봇 시스템 조립하기
재료·자료
제조공정도
작업표준서
제품 도면 및 발주서
해당 엔드이펙터 도면 및 유·공압 회로도
검사기준서
KS 및 ISO 표준
각종 계산 공식집
유·공압 부품 카탈로그
로봇 및 해당 장비 매뉴얼
기기(장비 ・공구)
컴퓨터, 프린터, 인터넷
각종 설계(CAD)·해석(CAE) 프로그램
공학용 계산기
버니어 캘리퍼스 등 각종 측정 기기류
스패너, 렌치 등 수공구류
전기 드릴 등 동력 공구류
분해 조립을 위한 특수 공구류
안전모, 안전화 등 안전 보호구류
안전 ・유의 사항
수공구 취급 시 안전에 유의하도록 한다.
수행 순서
① 조립기준서 및 조립검사기준서를 작성한다.
가공된 단일 부품들을 이용하여 하나의 모듈로 조립하기 위해서는 조립도 또는 조립기준서를 기준으로 하여 조립을 수행하게 된다. 조립기준서의 작성은 특별한 양식이 존재하지 않으나 일반적으로 조립 전 유의 사항, 조립 순서, 조립 부자재, 안전 유의 사항 등의 내용을 포함하게 되며 조립 방법 및 조립 순서 등은 조립도를 참고하여 작성하게 된다. 또 조립검사기준서의 작성은 조립기준서의 지시 또는 준수 사항을 올바르게 이행하여 조립 작업을 수행하였는가에 대한 평가와, 잘못된 조립 방법이나 실수로 인해 제품과 사용자에 치명적인 영향을 끼치는 것을 사전에 방지하기 위해 수행되는 조립 검사의 기준이 된다.
1. 조립기준서
조립기준서는 특정 인원이 아니라도 표준작업이 가능하도록 작성된 문서이다. 작은 시스템에서는 부품을 조립할 파트별 또는 모듈별로 분류하지 않고 한 번에 부품을 모아 조립하는 경우가 많으나 복잡하거나 큰 시스템에서는 각 부품을 모듈별, 파트별로 분류하여 선 조립 후 모듈과 파트를 다시 분류하고 조립하여 제품을 만들어 내는 경우가 많다. 시스템의 크기, 복잡도에 의해 조립기준서의 필요도가 달라지지 않는다는 것을 염두에 두어야 하며 예를 들어 간단한 블록을 조립 시에도 조립기준서가 없다면 조립에 많은 어려움을 느끼게 되는 것과 같다. 조립기준서에 포함되는 내용은 표준작업표, 작업지시서 등을 포함하며 표준작업표에 포함되는 내용은 사용되는 기계 및 라인의 구성, 작업 순서, 택트타임, 표준 등을 포함하고 있다. 작업지도서는 작업 시에 수행하여야 하는 작업들을 단위 작업 내용으로 분류하고 각 작업마다 수행 방법을 상세히 적은 문서이다. 포함되는 내용은 작업명, 관리 번호, 도면 번호, 표준 시간, 단위 작업 내용, 사용 부품, 공구, 계측기, 작업 주안점 등이 있다. <표 4-3>은 작업지시서의 예시이다.

위와 같은 내용을 포함한 작업지시서에 의해 각 부품을 조립하게 되며 이외에도 작업요령서 등이 조립기준서에도 포함되며 작업요령서에는 각 조립 시 작업 내용과 작업 시 유의사항을 포함하고 있다. 예를 들어 작업지시서에서 지시하는 작업을 수행하는 방법에 대하여 기술하고 있으며 작업자의 오른손, 왼손의 위치, 시선의 방향, 부품의 위치, 공구의 접근 방향 등의 작업에 필요한 내용들을 포함하고 있다.
2. 조립검사기준서
조립검사기준서는 조립기준서를 바탕으로 작성이 되며 작업지시서에 의해 수행된 내용이 올바르게 수행되었는가를 검사하는 기준이 된다. 조립검사기준서에 포함되는 내용은 검사 품의 관리 번호, 도면 번호, 제품 번호, 검사 내용, 불량 유무, 검사 장비 등의 내용을 포함하게 되며 작업지시서의 지시 내용을 검사할 수 있도록 검사 내용을 정하도록 한다. 검사 내용에 관하여는 각 부품과 조립 방법에 의해 다소 차이가 있다. 예로서 볼트의 체결, 하우징의 누설 시험 등의 조립검사기준서를 작성 시 체결 규정 토크, 누설양 등의 기준을 작성하게 된다.
② 부품을 조립한다.
이 절에서 다룰 부품 조립은 최소 단위의 부품을 이용하여 다음 단위의 모듈을 만드는 조립 단계로써 조립기준서를 바탕으로 부품을 조립하는 방법에 대하여 소개하도록 한다. 우선 조립기준서의 준수 사항을 숙지한 후 조립을 위해 각 부품을 준비하고 조립을 위한 공구를 준비하게 된다. 일반적인 생산 공장이나 생산 라인에서는 부품과 공구 등이 다 준비 되어 있고 작업지시서를 통해 작업이 이루어지나 본 학습모듈에서는 작업기준서의 숙지부터 시작하여 공구의 준비, 공구의 사용법, 조립도 보는 법 등을 알아보도록 한다.
1. 조립기준서 및 작업지시서 확인
조립기준서에 의해 각 공정의 개요를 파악하고 작업지시서에 의해 작업을 수행하게 되므로 조립기준서의 사전 준비 사항이나 안전 주의 사항을 이해하고 작업을 준비해야 한다. 작업지시서에서 지시된 공구와 부품들의 기준을 준수하며 임의의 조립 또는 기계 작동을 금해야 한다.
2. 공구의 준비 및 사용법
작업지시서에 지시된 공구와 계측기 등을 준비하게 되며 각 공구의 사용법 및 계측기의 사용법을 숙지하여야 한다. 일반적으로 기계 부품 조립 시 많이 사용되는 공구는 드라이버류, 렌치류 등이 있으나 생산 공정 라인에는 규정 토크를 준수하도록 설계되어있는 자동 공구를 많이 사용한다.
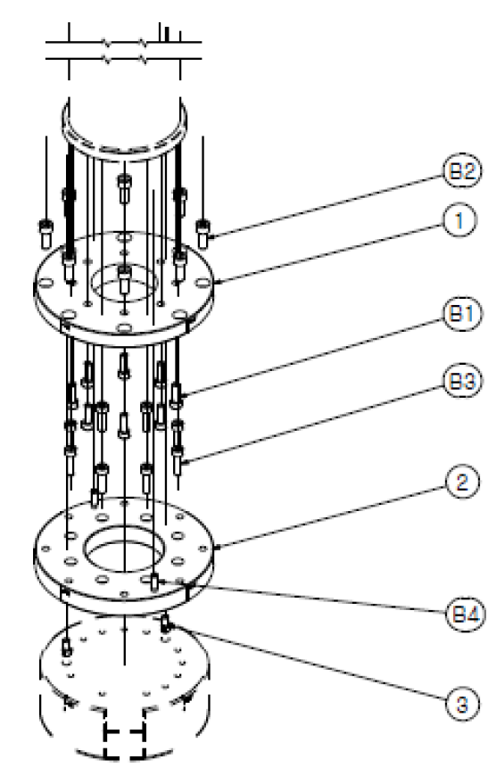
3. 작업지시서 및 조립도를 이용한 조립

작업지시서 내의 조립도를 바탕으로 조립 순서를 인지하고 작업 순서에 따라 작업을 수행 할 수 있도록 한다. [그림 4-2]는 조립도의 일부를 나타내고 있으며 지시된 부품의 종류와 부자재의 종류, 조립 순서 등을 대략적으로 확인할 수 있다. 이를 이용해 조립 방법 및 조립 순서를 이해하고 작업지시서의 내용을 바탕으로 작업을 수행하도록 한다.
로봇 시스템을 조립한다.
로봇 시스템의 조립은 시스템의 각 구성부의 조립과 구성부 간의 조립을 이야기하며 기계적 조립 이외에도 전기, 통신 등의 조립을 이야기할 수 있다. 로봇 시스템의 조립을 위해서는 통합 시스템 관리자와 각 구성부의 관리자의 협업이 필요하다.
검사 성적서를 작성한다.
조립검사기준서를 기준으로 하여 조립검사성적서를 작성하게 된다. 조립검사성적서에 포함되는 내용은 검사품의 항목, 실시한 검사 방법, 검사 횟수, 측정 결과 등과 검사자, 검사일시, 등의 내용이 포함되어야 한다.
수행 tip
• 실제 로봇의 설치서, 조립서 등을 찾아보는 것이 좋다
'Robotics : 로봇공학 > Certificate : 자격증' 카테고리의 다른 글
| '22년 및 '23년 출제 범위 비교 (4) | 2023.06.20 |
|---|---|
| 학습 1 - 로봇 소프트웨어 요구 사항 정의하기 (0) | 2023.02.13 |
| 1. 요구 사항 파악 및 작업 분석하기 - 1-2. 작업 및 운용 환경 분석 (0) | 2023.02.07 |
| 1. 요구 사항 파악 및 작업 분석하기 - 1-1. 요구 사항 파악 (0) | 2023.02.05 |
| 2-1-3 로봇 소프트웨어 계측 구조, 미들웨어 구현 위한 운영체제 설치 (3) | 2023.02.02 |